您好!欢迎访问合肥仁楷智能装备有限公司官网!
咨询热线:138-1681-8164
新闻资讯

传播公司新闻,了解行业动态

当前位置: 首页 新闻资讯
新闻资讯

合肥仁楷智能装备教您学会综合功率因素的计算

发布时间:2025-11-30    来源:合肥仁楷智能    浏览次数:331
合肥仁楷智能在本文结合依据国家标准、结合示例分享含移相因素和畸变因素的综合功率因数的计算方法,并对提高综合功率因素的措施做简单介绍,是电工深入了解功率因素的干货技术文章。
功率因数的组成
广义地说,功率因数应包括以下两个因素:
①移相因素(displacement):由于感应电动机、变压器、电感镇流器等需要一定量的无功功率(电感性)而导致的移相角(φ),形成cosφ,导致功率因数降低。
②畸变因素(distortion):由于电子器件、整流器等导致交流正弦波的波形畸变,也将导致功率因数的降低。
功率因数的计算
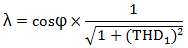
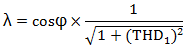
过去只考虑无功功率导致的功率因数cosφ是不全面的,在电子器件被广泛应用的今天,必须计入波形畸变的影响,综合功率因数应按下式计算
 ............ 公式1 
 ............ 公式2 
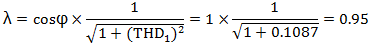
以上两个公式中:λ为含移相因素和畸变因素的综合功率因数;THD1为电流总谐波畸变率,%;HRIh为第h次谐波电流含有率,%。
功率因数计算示例
例1:某笼型电动机,cosφ为0.88,电流总谐波畸变率为15%,求λ值。
解:按公式1
 
再代入公式1得
 
由于对25W以上的照明灯的高次谐波电流限值较严,使λ值很理想。
例3:某照明配电回路,所接光源均为25W及以下的LED灯和荧光灯,其cosφ=1,高次谐波电流符合GB17625.1-2012的规定,求λ值。
解:按GB17625.1-2012之C类(照明设备)P≤25W的谐波含有率限值,代入公式 ,由于该标准只规定了3次和5次谐波电流限值,对其他次谐波电流限值未作规定,从了解到的测试参数估算,求得λ值约为0.5-0.6。由此可见,对25W及以下照明灯谐波电流限值过宽的又一不良后果是λ值过低。
提高综合功率因数的措施
1、电动机的负荷率不宜太低,通常应达到0.85-0.90,避免“大马拉小车”的情况。
2、负荷变化很大的机械设施(如未设高位水箱的高层建筑加压水泵)的传动电动机,宜采用多台或变频调速电动机。
3、配电线路宜采用多芯电缆、导线穿管和封闭式母线槽,使各相导体及N导体、PE导体在同一电缆或套管内,以降低电抗值。
4、按实际需要,在设备端或配电装置处装设无功补偿设备。
5、降低高次谐波含量,力求选择低谐波设备和照明产品。
在实际应用中,功率因素测量会使用功率因素表,无功补偿设备会用到无功功率自动补偿控制器,大家可到“合肥仁楷智能装备”官网了解这些产品。

声明:本网站发布的内容(图片、视频和文字)以原创、转载和分享网络内容为主,如果涉及侵权请尽快告知,我们将会在第一时间删除。文章观点不代表本网站立场,如需处理请联系客服。电话:13816818164。

本站全力支持关于《中华人民共和国广告法》实施的“极限化违禁词”的相关规定,且已竭力规避使用“违禁词”。故即日起凡本网站任意页面含有极限化“违禁词”介绍的文字或图片,一律非本网站主观意愿并即刻失效,不可用于客户任何行为的参考依据。凡访客访问本网站,均表示认同此条款!反馈邮箱:624329604@qq.com。